LG INR 21700 M50

LG INR 21700 M50 has an NMC 811 formulation for the cathode and a Graphite-SiOx anode. It is in the 21700 cylindrical format.
Key features
- NMC 811
- Li(Ni0.84Co0.10Mn0.06)O2
- +1%wt Si
- 267Wh/kg
- 740Wh/litre
- 1176W/kg
- 3261W/litre
Designed to meet
- Safety:
- Transport:
- Quality:
- Nominal Capacity = 5.0Ah
- Minimum capacity = 4.85Ah
- 4.921Ah at C/5 [1]
- Nominal Voltage = 3.63V
- Nominal Energy = 18.20Wh
- Minimum energy = 17.60Wh
- Maximum voltage = 4.20V +/-0.05V
- Cutoff voltage = 2.50V
- Maximum continuous discharge
- 1.5C at 5°C to 60°C
- 0.3C at -20°C to 5°C
- 0.2C at -30°C to -20°C
- Maximum pulse discharge 10s = 80W at 80% SoC
- max pulse current =
- Maximum charge
- 0.7C at 25°C to 50°C
- 0.3C at 0°C to 25°C
- Operating temperature range = °C
- Storage temperature range °C
- Cycle life
Dimensions
- Dia: ≤21.10mm
- H: ≤70.15mm
- Volume: litres
- Mass: 0.068kg +/-0.001kg

Test data
- Maximum discharge current =
- Short circuit current =
- ACIR ≤25mΩ @1 kHz
- DCIR = 30+/-6mΩ 30s 0.5C
Capacity vs Temperature
| Discharge Temperature [°C] | Energy [Wh] |
| -10 | 12.7 |
| 0 | 14.6 |
| 25 | 18.2 |
| 60 | 17.3 |
Reference 1 has many continuous discharge curves for this cell from 0.2A up to 20A continuous.
DCIR vs Temperature
The DCIR was measured by Popp et al [6] at 3 C-rates and at different temperatures. The DCIR values were taken 0.5s into the pulse and have been plotted below versus temperature.

Cycle Ageing
The product data sheet specifies 500 cycles at C/3 charge and C/3 discharge between 4.2V and 2.85V, hence 100% to 0%.
The EU collaborative project iModBatt [Reference 5] has tested and cycled a number of cells.

This data shows that the M50 cycle life decrease rapidly when charged above 1C.
Physical Properties
Chang-Hui Chen et al [7] used this cell to develop the cell teardown, analysis techniques and subsequent mathematical models. The table below comes from this paper and lists some of the physical parameters for the Cathode, Separator and Anode.

Internal Gas Pressure
Gas Pressure Post Formation – Gulsoy et al [1] developed a technique to measure the accumulated pressure within the cylindrical cell post formation, the cell in question was the LG INR21700 M50. The method involved opening the cell and inserting a sensor without incurring a loss of pressure. A bespoke test rig was designed to achieve this. Three cells were tested and the average gas pressure was 260 mbar.
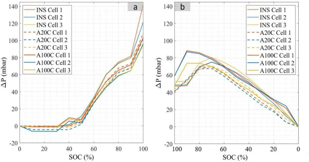
Gas Pressure vs SoC – Gulsoy et al [1] show the gas pressure versus SoC for an LG INR21700 M50 cell and Hemmerling et al [2] show the gas pressure versus SoC for an LG INR18650 MJ1 cell.

Internal gas pressure of instrumented cells with respect to 0% SOC during the processes of (a) charging with C/3 rate and (b) discharging with 1C rate at different ageing stages
This post has been built based on the support and sponsorship of: AVANT Future Mobility, Quarto Technical Services, TAE Power Solutions, h.e.l group and The Limiting Factor.
Safety data
Independent safety tests of the cell.
| Test | Result | Comments |
|---|---|---|
| External Short Circuit | No explode, No fire | |
| Overcharge | No explode, No fire | |
| Forced Discharge | No explode, No fire | |
| Crush | ||
| Impact | ||
| Shock | ||
| Vibration | No leakage | |
| Temperature Cycling | ||
| Low Pressure | ||
| Nail Penetration | ||
| External Heat | ||
| Drop | No leakage No temperature rising |
Known Applications
Conclusions
The LG INR21700 M50 is a high energy and moderate power cell. Based on it’s capability it has been used in a lot of applications and for a lot of research programmes.
Note: if you have tested this cell independently and able to share data please contact us nigel@batterydesign.net
References:
- LG 21700 M50 5000mAh (Grey), lygte-info.dk
- Lithium Ion INR21700 M50, LG Chem Product Specification Datasheet, DNKPower.com
- B. Gulsoy, T.A. Vincent, C. Briggs, J.E.H. Sansom, J. Marco, In-situ measurement of internal gas pressure within cylindrical lithium-ion cells, Journal of Power Sources, Volume 570, 2023
- Edoardo Catenaro, Simona Onori, Experimental data of lithium-ion batteries under galvanostatic discharge tests at different rates and temperatures of operation, Data in Brief, Volume 35, 2021
- Benchmark, Ageing and Ante-Mortem of Sota Cylindrical Lithium-Ion Cells, iModBatt
- Popp, H., Zhang, N., Jahn, M. et al. Ante-mortem analysis, electrical, thermal, and ageing testing of state-of-the-art cylindrical lithium-ion cells. Elektrotech. Inftech. 137, 169–176 (2020)
- Chang-Hui Chen, Ferran Brosa Planella, Kieran O’Regan, Dominika Gastol, W. Dhammika Widanage and Emma Kendrick, Development of Experimental Techniques for Parameterization of Multi-scale Lithium-ion Battery Models, 2020 J. Electrochem. Soc. 167 080534
- Kieran O’Regan, Ferran Brosa Planella, W. Dhammika Widanage, Emma Kendrick, Thermal-electrochemical parameters of a high energy lithium-ion cylindrical battery, Electrochimica Acta, Volume 425, 2022
Source: https://www.batterydesign.net/lg-21700-m50/